App ID:FLM-B230016
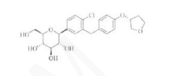
恩格列凈手性異構(gòu)體分析
方法:自訂
色譜柱:Chiral INC 5u 250*4.6mm (貨號 FMG-JY5-I03)
流動相:正相
評語:采用該款色譜柱對恩格列凈異構(gòu)體分析分離度和峰型能完全滿足檢測的要求,同比市面其它同款手 性柱性價(jià)比更高。
本案例及評價(jià)來自知名藥企
色譜柱|高效液相柱|手性柱|氣相柱|SPE|制備柱
App ID:FLM-B230016
恩格列凈手性異構(gòu)體分析
方法:自訂
色譜柱:Chiral INC 5u 250*4.6mm (貨號 FMG-JY5-I03)
流動相:正相
評語:采用該款色譜柱對恩格列凈異構(gòu)體分析分離度和峰型能完全滿足檢測的要求,同比市面其它同款手 性柱性價(jià)比更高。
本案例及評價(jià)來自知名藥企

掃一掃,添加菲羅門公眾號